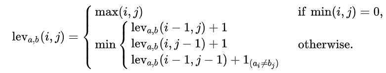
编辑距离计算


1
2
3
4
5
6
7
8
9
10
11
12
13
14
15
16
17
18
19
20
21
22
23
24
25
26
27
28
29
def editDistDP(s1, s2): 
m = len(s1)
n = len(s2)
# 创建一张表格记录所有子问题的答案
dp = [[0 for x in range(n+1)] for x in range(m+1)]

# 从下往上填充DP表格
for i in range(m+1):
for j in range(n+1):

# 如果第一个字符串为空,唯一的编辑方法就是添加第二个字符串
if i == 0:
dp[i][j] = j # Min. operations = j

# 如果第二个字符串为空,唯一的方法就是删除第一个字符串中的所有字母
elif j == 0:
dp[i][j] = i # Min. operations = i

# 如果两个字符串结尾字母相同,我们就可以忽略最后的字母
elif s1[i-1] == s2[j-1]:
dp[i][j] = dp[i-1][j-1]

# 如果结尾字母不同,那我们就需要考虑三种情况,取最小的编辑距离
else:
dp[i][j] = 1 + min(dp[i][j-1], # 添加
dp[i-1][j], # 删除
dp[i-1][j-1]) # 替换

return dp[m][n]

1
2
3
s1 = "natural language processing is a promising research area"
s2 = "more researchers are working on natural language processing nowadays"
editDistDP(s1.split(), s2.split())

output:9